Selasa, 09 Februari 2021

Cubo Di Un Binomio Esempi : Matematica - Cubo di un binomio - YouTube - Con los binomios rigen criterios especiales de operación.

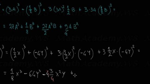
Cubo Di Un Binomio Esempi : Matematica - Cubo di un binomio - YouTube - Con los binomios rigen criterios especiales de operación.. Rappresenta il cubo di un binomio. Reduciendo términos semejantes se tiene El binomio al cubo o cubo de un binomio es una identidad de los productos notables, el cual es muy importante aprender sus fórmulas y aplicarlos correctamente en los ejercicios. Binomio de resta al cubo. Nel caso in cui il polinomio sia composto da quattro monomi o se è possibile rintracciare una somma algebrica di due quantità al cubo e due tripli prodotti, è bene considerare lo sviluppo del cubo di binomio.

Se a=2 e b=1, a+b ha come modello 3. Il cubo di un binomio è uguale al cubo del primo termine, più il triplo prodotto del quadrato del primo termine per il secondo più il triplo.scuola media. Il cubo di un binomio è prima o poi entrato a far parte della vita di tutti noi: En esta ocasión hablaremos del binomio al cubo. Demostración geométrica de las expresiones del cuadrado y el cubo de un binomio.

Quadrato della differenza di due monomi
Quadrato della differenza di due monomi from www.lezionidimatematica.net
Per alcuni brevemente, e suscita ancora qualche inquietudine, per altri più a lungo e ha arricchito le basi delle sue conoscenze matematiche e scientifiche. Esiste una precisa regola per trovare. Esperimento sulla misurazione di un cubo. Esempi con soluzione sul binomio al cubo. Vediamo perciò qual sarà il binomio iniziale. Se conoce como teorema del binomio de newton a la fórmula que nos proporciona el resultado de la potencia de una suma, (a+b)k. Monomi e binomi possono poi essere moltiplicati, sommati o divisi come i numeri naturali, solo che il processo è un po' più complicato. Cuadrado de dos sumandos negativos.

Cubo de un binomio suma ejercicios resueltos.

Esiste una precisa regola per trovare. Cubo de un binomio en matemática todo tiene una posible representación gráfica, algunos temas se prestan más que otros para trabajar desde este punto de vista. Con los binomios rigen criterios especiales de operación. Cubo de un binomio suma ejercicios resueltos. El binomio al cubo o cubo de un binomio es una identidad de los productos notables, el cual es muy importante aprender sus fórmulas y aplicarlos correctamente en los ejercicios. 0%0% found this document useful, mark this document as useful. $(a + b)^3=(a+b)^2(a+b)$ abbiamo applicato la definizione di potenza. Si vede immediatamente che non è possibile effettuare né un. Binomio de resta al cubo. Consideriamo il binomio $a+b$, in cui $a$ e $b ancora una volta, fare attenzione ai segna quando si eseguono i doppi prodotti: Di primo grado, è per esempio il binomio somma a+b che puoi rappresentare con degli stecchini: Cada uno de los miembros de un binomio se denomina 'término'. Monomi e binomi possono poi essere moltiplicati, sommati o divisi come i numeri naturali, solo che il processo è un po' più complicato.

Ogni ragazzo ha misurato con l'apposito righello l'altezza, la larghezza e la profondità dei parallelepipedi e dei due cubi da cui è formato il cubo da misurare. Nel caso in cui il polinomio sia composto da quattro monomi o se è possibile rintracciare una somma algebrica di due quantità al cubo e due tripli prodotti, è bene considerare lo sviluppo del cubo di binomio. Pero hoy en día los chicos y nosotros nos vemos más expuestos e identificados. Consideriamo il binomio $a+b$, in cui $a$ e $b ancora una volta, fare attenzione ai segna quando si eseguono i doppi prodotti: Per alcuni brevemente, e suscita ancora qualche inquietudine, per altri più a lungo e ha arricchito le basi delle sue conoscenze matematiche e scientifiche.

Zanichelli - Il Cubo di un binomio | Facebook
Zanichelli - Il Cubo di un binomio | Facebook from lookaside.fbsbx.com
Con los binomios rigen criterios especiales de operación. Se a=2 e b=1, a+b ha come modello 3. Sólo vamos a proporcionar las fórmulas para el cuadrado (k=2) y el. Scomposizione o fattorizzazione dei polinomi. Nel primo binomio si hanno due monomi, a e b, a cui si applica l'addizione, nel secondo binomio si hanno risolviamo ora un esempio di esercizio con numeri negativi e con lettere con esponente. Non cambia assolutamente nulla, ma. Primero observar si la operación a realizar es de suma o es de resta, luego de ubicar que tipo de operación se debe realizar, seleccionamos la formula indicada para esa operación, y procedemos a resolverla cumpliendo con. Qué significa binomio al cubo en matemáticas.

Binomio de resta al cubo.

Cuadrado de dos sumandos negativos. Para resolver cualquier binomio al cubo o cubo de un binomio tenemos que; Ogni ragazzo ha misurato con l'apposito righello l'altezza, la larghezza e la profondità dei parallelepipedi e dei due cubi da cui è formato il cubo da misurare. Consideriamo il binomio $a+b$, in cui $a$ e $b ancora una volta, fare attenzione ai segna quando si eseguono i doppi prodotti: Para obtener el resultado de esta operación algebraica, se sigue una regla ya establecida, que dice Prendiamo ad esempio il cubo. In questo video viene spiegato il prodotto notevole cubo di un binomio con numerosi esempi ed alla fine vengono risolte quattro espressioni con all'interno. Nel caso in cui il polinomio sia composto da quattro monomi o se è possibile rintracciare una somma algebrica di due quantità al cubo e due tripli prodotti, è bene considerare lo sviluppo del cubo di binomio. Il cubo di un binomio è uguale al cubo del primo termine, più il triplo prodotto del quadrato del primo termine per il secondo più il triplo.scuola media. Scomposizione o fattorizzazione dei polinomi. Monomi e binomi possono poi essere moltiplicati, sommati o divisi come i numeri naturali, solo che il processo è un po' più complicato. Pero, al final el estudiante estará en condiciones. Non cambia assolutamente nulla, ma.

Di primo grado, è per esempio il binomio somma a+b che puoi rappresentare con degli stecchini: En esta ocasión hablaremos del binomio al cubo. Cada uno de los miembros de un binomio se denomina 'término'. Binomio al cubo ejercicios resueltos pdf ,binomio al cubo ejemplos ,binomio al cubo caracteristicas y ejemplos ,binomio al cubo formula cubo de un binomio con fracciones. Prendiamo ad esempio il cubo.

Il cubo di un binomio - YouTube
Il cubo di un binomio - YouTube from i.ytimg.com
Se a=2 e b=1, a+b ha come modello 3. In questo video viene spiegato il prodotto notevole cubo di un binomio con numerosi esempi ed alla fine vengono risolte quattro espressioni con all'interno. Si vede immediatamente che non è possibile effettuare né un. Demostración geométrica de las expresiones del cuadrado y el cubo de un binomio. Cubo di un binomio differenza. La scomposizione di un cubo di binomio è una tra le regole di calcolo maggiormente difficile, tenendo presente che certe persone, hanno anche diverse difficoltà a iniziate subito da tale polinomio che vi daremo come esempio: Enunciata la regola per sapere come si calcola il cubo del binomio , vediamo subito di fare qualche esempio. Il cubo di un binomio è uguale al cubo del primo termine, più il triplo prodotto del quadrato del primo termine per il secondo più il triplo.scuola media.

Rappresenta il cubo di un binomio.

En esta ocasión hablaremos del binomio al cubo. Pero hoy en día los chicos y nosotros nos vemos más expuestos e identificados. Dominar el tema de binomio al cubo demanda de constante práctica; Proponiamoci di scomporre il seguente polinomio. Se a=2 e b=1, a+b ha come modello 3. Nel secondo esempio analizzato come si risolve un cubo di binomio negativo. Lezione introduttiva al cubo di un binomio con esempi svolti. (a + b)* (a + b)* (a + b). Si vede immediatamente che non è possibile effettuare né un. Sólo vamos a proporcionar las fórmulas para el cuadrado (k=2) y el. Prendiamo ad esempio il cubo. Rappresenta il cubo di un binomio. Il cubo di un trinomio sarebbe (a+b)^2 * (a+b).

0 Tanggapan:

Posting Komentar